α-烯基磺酸钠 AOS (sodium 2-olefinsulfonate)
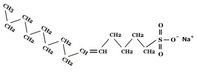
R1-CH=CH-(CH2)n-SO3Na R2-CH(OH)-(CH2)n-SO3Na R1=C9-13 R2=C8-14 n=1、2、3
属于阴离子型表面活性剂
黄色透明液体。含量38%~40%。
白色粉末含量约95%,易溶于水。
分子式

C14-16 烯烃磺酸钠
质量标准
GB/T 20200-2006
在一定的浓度范围内,AOS能将水的表面张力从72mN/m降至30~40mN/m。这种表面活性赋予AOS具有优异的去污性能。
LAS的耐硬水能力较差,在硬水中发泡力会显著降低。而AOS在此方面的性能明显优于LAS。由于其具有较好的抗硬水能力,因而在硬水中的去污能力也基本不会降低。在有皮脂存在时,AOS的发泡力比AES和AS还略高。用CaCl2的溶液滴定表面活性剂溶液,以溶液是否浑浊作为判定终点,测得几种表面活性剂的抗硬水能力(以CaCO3计),由弱到强依次为:K12<LAS<MES<AOS14~18<AOS14~16<AES(EO=3)由于AOS的分子结构中具有双键体系,使得其在性能方面表现得更为柔和一些,刺激性较LAS明显降低。因此,将它与AES等配合,复配应用到洗涤剂(尤其是液体洗涤剂)中,能够显著降低洗涤剂的刺激性。AOS易于溶解且容易与其他组分配伍。因此,AOS与其他表面活性剂和酶制剂等具有很好的协同效应。
研究了8种常规表面活性剂对液体蛋白酶的活性影响,结果表明:AOS、LAS、APG12-14对酶的活性影响程度强,AES和TX-10对酶的作用程度居中,AEO9、6501和AEC对酶的活性影响程度弱。溶液显示的酶活性高低顺序是AEO9>AEC >TX -10 >6501 >AES >8 -混合 > AOS >APG12~ 14 >LAS 。
阴离子表面活性剂的生物降解性,由易到难顺序依次为:AS>AOS>MES(脂肪酸甲酯磺酸盐)>AES>LAS>ABS
AOS的生物降解速度和最终生物降解度都要明显高于LAS。AOS在自然环境中5~7天可完全降解而消失,不会污染环境。而LAS则需要20~22天方能100%降解。
在相同条件下,对C12、C14、C16、C18的AOS分别给予测定,随着碳链的增长,溶解度下降。但在比较宽的碳数范围(C12-C18)内都有较好的溶解性。碳数分布为C14、C16的AOS溶解性很好,可以用在液体洗涤剂中。
7润湿力
在室温27℃下,将表面活性剂配成0.1%去离子水溶液,用浸没法测得几种表面活性剂的润湿时间。润湿力由大到小的顺序如下:LAS>AOS14-16>AES≈K12>AOS14-18>MES
8起泡性
AOS、LAS、K12、AES等阴离子表面活性剂均有较好的发泡力,相比较而言,AOS14-16、AES发泡性最好。在硬水和软水两种条件下,AOS14-16、AOS14-18和AES发泡力变化不大。而LAS和K12由于耐硬水能力较差,在硬水中发泡力显著降低。在有皮脂存在时,AOS的发泡力比AES和AS略高。另外,AOS的泡沫可以用肥皂等加以抑制。
9去污力
含磷洗衣粉中阴离子表面活性剂16%、三聚磷酸钠18%、纯碱和泡花碱等组分按国标对洗衣粉的要求加入。洗衣粉在国标污布、瓶式去污机上进行去污实验,得到去污力由高到低的次序为:AES(EO=3)>AOS14-16>AOS14-18>K12>LAS无磷洗衣粉中阴离子表面活性剂18%、4A沸石20%、纯碱和泡花碱、高分子聚合物等组分按国标对洗衣粉的要求加入。洗衣粉在国标污布、瓶式去污机上进行去污实验,得到去污力由高到低的次序为:AES(EO=3)>AOS14-16>AOS14-18>K12>LAS
10安全性
肥皂、合成洗涤剂的急性毒性大多由大白鼠,小白鼠之类小动物的急性LD50值(半数致死量)来表示.
AOS、LAS和FAS(脂肪醇硫酸钠)的LD50分别为3.26 g/kg、1.62 g/kg和1.46 g/kg,AOS的毒性较低。
一般阴离子表面活性剂的毒性高于肥皂5-10倍,AOS的毒性略小,LAS则较大,另外,非离子表面活性剂的毒性和阴离子表面活性剂的毒性大体相同。
通过皮肤帖敷实验得出:阴离子表面活性剂的刺激性一般是AS>LAS>AOS>AES,在同系物中按C12>C14>C16≈C18顺序减弱。比较LAS、AS和AOS对眼睛的刺激性,LAS和AS在0.1%浓度以上时,对眼睛黏膜有明显的刺激。而AOS在0.1%浓度时,仅有少量充血,AOS在0.5%浓度时对眼黏膜有明显的刺激。在低浓度时三种表面活性剂均不刺激眼黏膜,经漂洗后可使刺激性全部消失。
AOS具有良好的起泡性、抗硬水性和生物降解性,而且去污力好、刺激性小、配伍性好,易溶于水。因此,它是一种适用于无磷洗衣粉、复合皂、餐具洗涤剂、香波、沐浴液等洗涤用品使用的理想原料。并且,上述性能还使之能够在造纸、石油、工业清洗等领域得到广泛应用。
关键字:高泡,硬水,去污,分子